Супер эксперт, одна из последних разработок в советникостроении, который подойдет абсолютно всем. Как новичку в торговле, так и опытному трейдеру. Полностью автоматический робот все сделает за вас. Этот робот способен приносить только прибыль! И это не пустые слова! Советник проверен многими трейдерами на реальных счетах и он реально приносит результат!
Уникальная технология торговли позволяет собирать практически только положительные сделки. Советник сам определяет наилучшее время начала торговли, тем самым получает наилучший результат. Детальный отчет можно посмотреть тут http://slil.ru/27894017
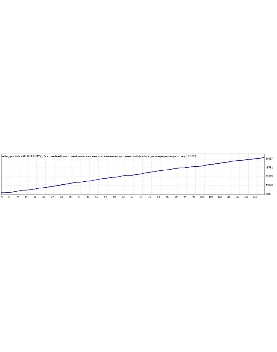
Статистика говорит сама за себя
Прибыльность 25.30
Матожидание выигрыша 382.00
Относительная просадка 21.16%
Прибыльные сделки (% от всех)122 (91.73%)
И это НЕ ПОДГОНКА результатов.
Главная особенность советника это функция самооптимизации, что дает очень высокий показатель прибыльности. Вам не придется постоянно следить за ним и оптимизировать, он все это делает сам! После недолгой настройки можно спокойно ставить его на демо или реал. Нет нужды делать оптимизацию за год! Достаточно сделать ее за месяц, а уж советник будет сам оптимизировать раз в день и выставлять самые свежие пераметры, что обеспечивает очень высокий профит!
Даже если Вы неопытный или начинающий трейдер или хотите позабыть о постоянной перенастройке советника, то эта система для ВАС! С настройкой советника я помогу!
Уникальная технология торговли позволяет собирать практически только положительные сделки. Советник сам определяет наилучшее время начала торговли, тем самым получает наилучший результат. Детальный отчет можно посмотреть тут http://slil.ru/27894017
Статистика говорит сама за себя
Прибыльность 25.30
Матожидание выигрыша 382.00
Относительная просадка 21.16%
Прибыльные сделки (% от всех)122 (91.73%)
И это НЕ ПОДГОНКА результатов.
Главная особенность советника это функция самооптимизации, что дает очень высокий показатель прибыльности. Вам не придется постоянно следить за ним и оптимизировать, он все это делает сам! После недолгой настройки можно спокойно ставить его на демо или реал. Нет нужды делать оптимизацию за год! Достаточно сделать ее за месяц, а уж советник будет сам оптимизировать раз в день и выставлять самые свежие пераметры, что обеспечивает очень высокий профит!
Даже если Вы неопытный или начинающий трейдер или хотите позабыть о постоянной перенастройке советника, то эта система для ВАС! С настройкой советника я помогу!





