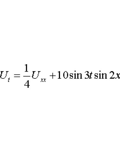
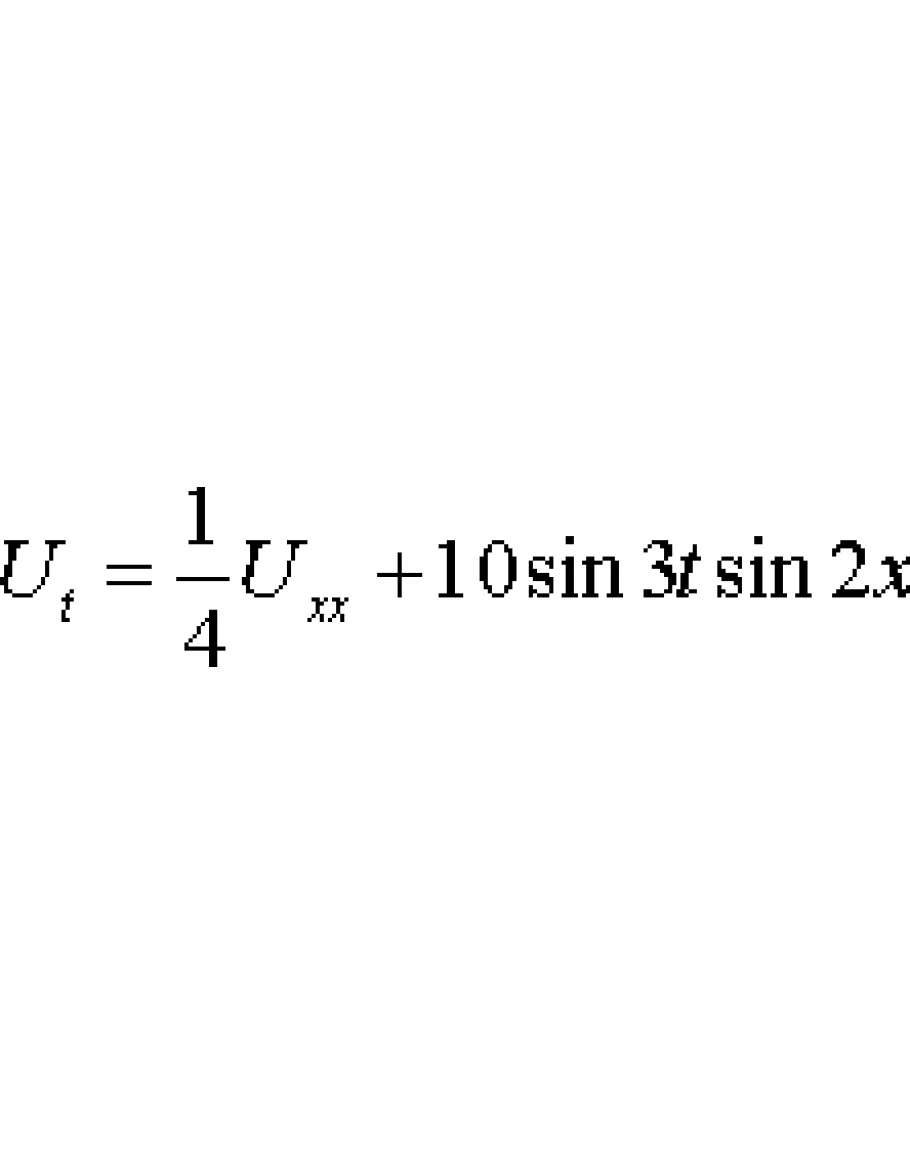
Решение задачи 5.21 (задача 5. Решить смешанную задачу для данного неоднородного уравнения теплопроводности с нулевым начальным и граничными условиями u(x,0)=0; u(0,t)=0, u(Пи,t)=0 (стр. 216). Вариант 21) из решебника по высшей математике из раздела XI: Уравнения Математической Физики (УМФ).
Задачник: Кузнецов Л.А., помогали: Пикулин В.П., Леферова А.Ф, Калинин А.С. и др.
Сборник заданий по высшей математике (типовые расчеты). — Санкт-Петербург: Издательство «Лань», 2005
Задачник: Кузнецов Л.А., помогали: Пикулин В.П., Леферова А.Ф, Калинин А.С. и др.
Сборник заданий по высшей математике (типовые расчеты). — Санкт-Петербург: Издательство «Лань», 2005
Задача 5.21 из раздела 11 УМФ автор Кузнецов Л.А. 2005
- Продавец: Chudesenko
- Модель: 2112974
- Наличие: Есть в наличии
-
45р.




