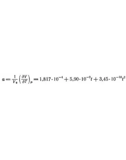
Термический коэффициент объемного расширения ртути дается выражением:
где 1/V0 - температура (°С) и V0 = V при t=0. Если показания идеального газового и ртутного термометров совпадают при 0 и 100° С, то какой кажущейся температуре по ртутной шкале будет соответствовать 50° С по шкале идеального газового термометра?
где 1/V0 - температура (°С) и V0 = V при t=0. Если показания идеального газового и ртутного термометров совпадают при 0 и 100° С, то какой кажущейся температуре по ртутной шкале будет соответствовать 50° С по шкале идеального газового термометра?




