• Задача 8.09 из раздела 11 УМФ автор Кузнецов Л.А. 2005
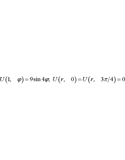
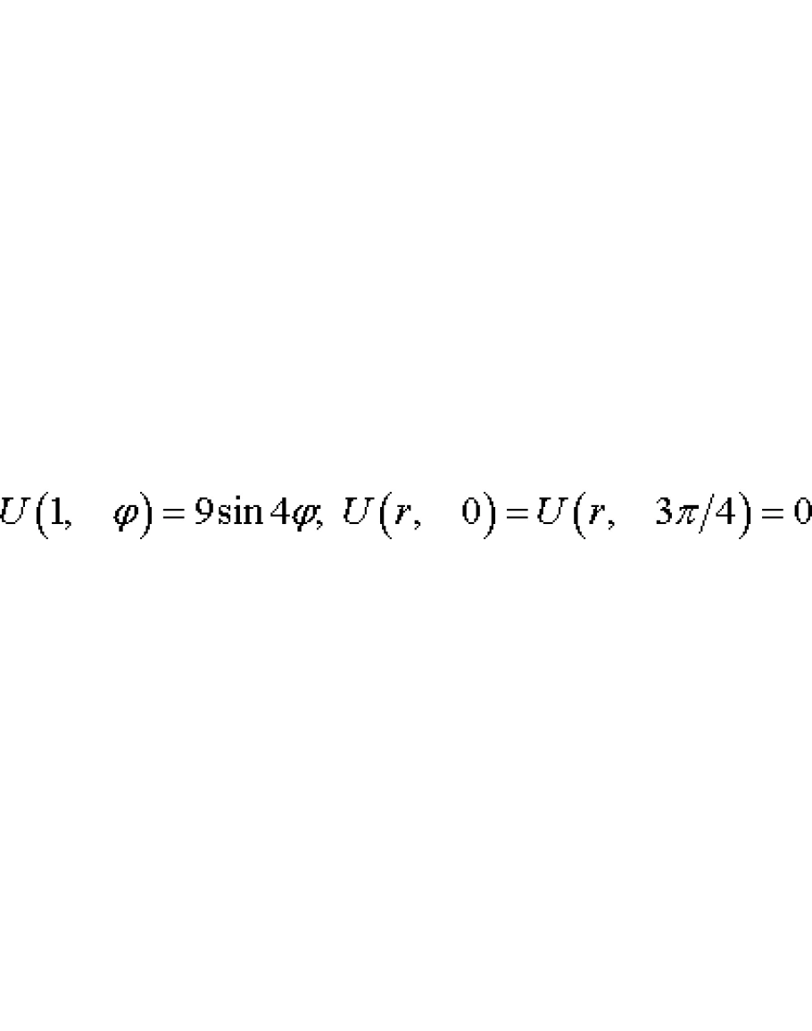
Решение задачи 8.9 (задача 8. Найти решение уравнения Лапласа дельтаu=0 в круговом секторе 0 < r < 1, 0 < Фи < a (r и Фи - полярные координаты, а < 2Пи), на границе которого искомая функция удовлетворяет следующим условиям: согласно варианта (стр. 220). Вариант 9) из решебника к сборнику задач по высшей математике раздела XI: Уравнения Математической Физики (УМФ).
Задачник: Кузнецов Л.А., помогали: Пикулин В.П., Леферова А.Ф, Калинин А.С. и др.
Сборник заданий по высшей математике (типовые расчеты). — Санкт-Петербург: Издательство «Лань», 2005

Написать отзыв

Примечание: HTML разметка не поддерживается! Используйте обычный текст.
   Плохо           Хорошо

Задача 8.09 из раздела 11 УМФ автор Кузнецов Л.А. 2005

  • Продавец: Chudesenko
  • Модель: 2113082
  • Наличие: Есть в наличии
  • 45р.

Рекомендуемые