Chudesenko
Задача 8.08 из раздела 11 УМФ автор Кузнецов Л.А. 2005
Решение задачи 8.8 (задача 8. Найти решение уравнения Лапласа дельтаu=0 в круговом секторе 0 < r < 1..
52р.
Задача 8.09 из раздела 11 УМФ автор Кузнецов Л.А. 2005
Решение задачи 8.9 (задача 8. Найти решение уравнения Лапласа дельтаu=0 в круговом секторе 0 < r < 1..
45р.
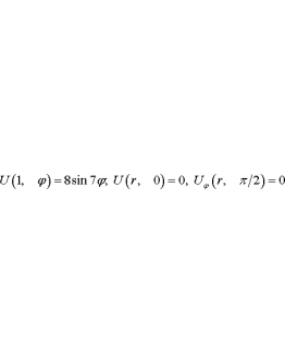
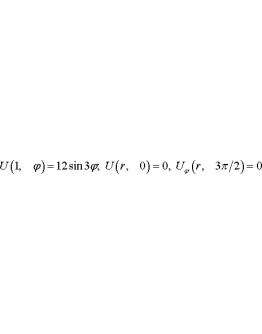
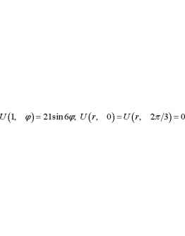
Задача 8.10 из раздела 11 УМФ автор Кузнецов Л.А. 2005
Решение задачи 8.10 (задача 8. Найти решение уравнения Лапласа дельтаu=0 в круговом секторе 0 < r < ..
52р.
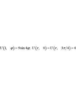
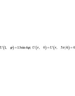
Задача 8.11 из раздела 11 УМФ автор Кузнецов Л.А. 2005
Решение задачи 8.11 (задача 8. Найти решение уравнения Лапласа дельтаu=0 в круговом секторе 0 < r < ..
45р.
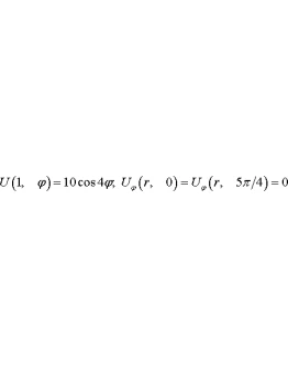
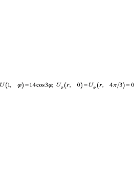
Задача 8.12 из раздела 11 УМФ автор Кузнецов Л.А. 2005
Решение задачи 8.12 (задача 8. Найти решение уравнения Лапласа дельтаu=0 в круговом секторе 0 < r < ..
45р.
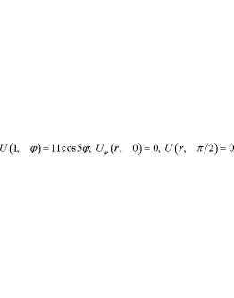
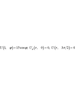
Задача 8.13 из раздела 11 УМФ автор Кузнецов Л.А. 2005
Решение задачи 8.13 (задача 8. Найти решение уравнения Лапласа дельтаu=0 в круговом секторе 0 < r < ..
45р.
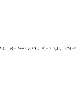
Задача 8.14 из раздела 11 УМФ автор Кузнецов Л.А. 2005
Решение задачи 8.14 (задача 8. Найти решение уравнения Лапласа дельтаu=0 в круговом секторе 0 < r < ..
54р.
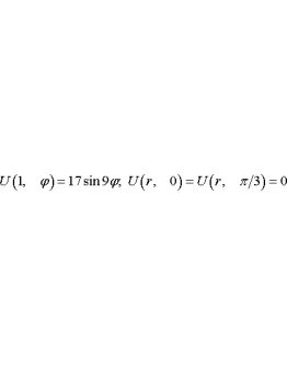
Задача 8.15 из раздела 11 УМФ автор Кузнецов Л.А. 2005
Решение задачи 8.15 (задача 8. Найти решение уравнения Лапласа дельтаu=0 в круговом секторе 0 < r < ..
45р.
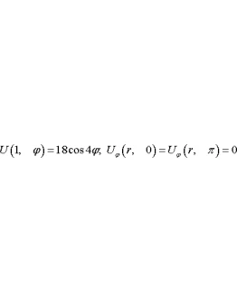
Задача 8.16 из раздела 11 УМФ автор Кузнецов Л.А. 2005
Решение задачи 8.16 (задача 8. Найти решение уравнения Лапласа дельтаu=0 в круговом секторе 0 < r < ..
54р.
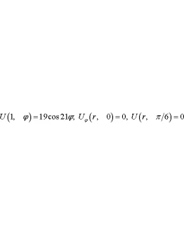
Задача 8.17 из раздела 11 УМФ автор Кузнецов Л.А. 2005
Решение задачи 8.17 (задача 8. Найти решение уравнения Лапласа дельтаu=0 в круговом секторе 0 < r < ..
45р.
Задача 8.18 из раздела 11 УМФ автор Кузнецов Л.А. 2005
Решение задачи 8.18 (задача 8. Найти решение уравнения Лапласа дельтаu=0 в круговом секторе 0 < r < ..
52р.
Задача 8.19 из раздела 11 УМФ автор Кузнецов Л.А. 2005
Решение задачи 8.19 (задача 8. Найти решение уравнения Лапласа дельтаu=0 в круговом секторе 0 < r < ..
45р.
Задача 8.20 из раздела 11 УМФ автор Кузнецов Л.А. 2005
Решение задачи 8.20 (задача 8. Найти решение уравнения Лапласа дельтаu=0 в круговом секторе 0 < r < ..
45р.
Задача 8.21 из раздела 11 УМФ автор Кузнецов Л.А. 2005
Решение задачи 8.21 (задача 8. Найти решение уравнения Лапласа дельтаu=0 в круговом секторе 0 < r < ..
45р.
Задача 8.22 из раздела 11 УМФ автор Кузнецов Л.А. 2005
Решение задачи 8.22 (задача 8. Найти решение уравнения Лапласа дельтаu=0 в круговом секторе 0 < r < ..
54р.














