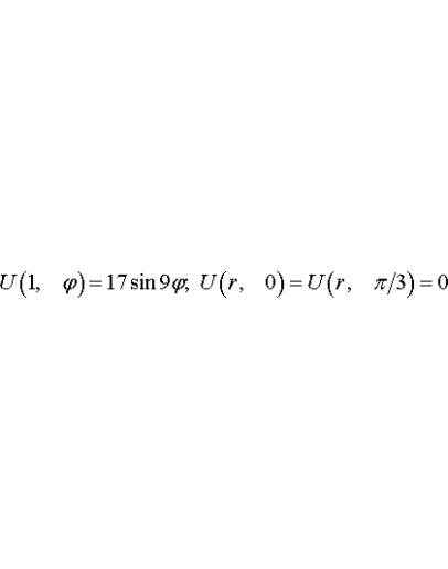
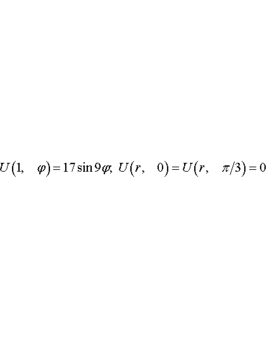
Решение задачи 8.17 (задача 8. Найти решение уравнения Лапласа дельтаu=0 в круговом секторе 0 < r < 1, 0 < Фи < a (r и Фи - полярные координаты, а < 2Пи), на границе которого искомая функция удовлетворяет следующим условиям: согласно варианта (стр. 220). Вариант 17) из решебника к сборнику задач по высшей математике раздела XI: Уравнения Математической Физики (УМФ).
Задачник: Кузнецов Л.А., помогали: Пикулин В.П., Леферова А.Ф, Калинин А.С. и др.
Сборник заданий по высшей математике (типовые расчеты). — Санкт-Петербург: Издательство «Лань», 2005
Задачник: Кузнецов Л.А., помогали: Пикулин В.П., Леферова А.Ф, Калинин А.С. и др.
Сборник заданий по высшей математике (типовые расчеты). — Санкт-Петербург: Издательство «Лань», 2005
Задача 8.17 из раздела 11 УМФ автор Кузнецов Л.А. 2005
- Продавец: Chudesenko
- Модель: 2113434
- Наличие: Есть в наличии
-
45р.




