Chudesenko
Задача 8.23 из раздела 11 УМФ автор Кузнецов Л.А. 2005
Решение задачи 8.23(задача 8. Найти решение уравнения Лапласа дельтаu=0 в круговом секторе 0 < r < 1..
45р.
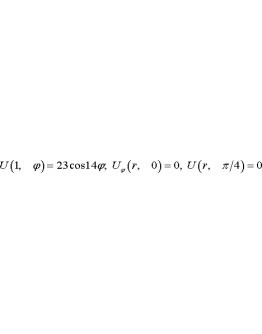
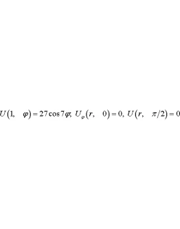
Задача 8.24 из раздела 11 УМФ автор Кузнецов Л.А. 2005
Решение задачи 8.24 (задача 8. Найти решение уравнения Лапласа дельтаu=0 в круговом секторе 0 < r < ..
45р.
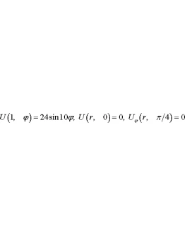
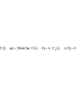
Задача 8.25 из раздела 11 УМФ автор Кузнецов Л.А. 2005
Решение задачи 8.25 (задача 8. Найти решение уравнения Лапласа дельтаu=0 в круговом секторе 0 < r < ..
45р.
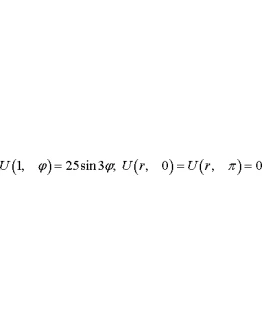
Задача 8.26 из раздела 11 УМФ автор Кузнецов Л.А. 2005
Решение задачи 8.26 (задача 8. Найти решение уравнения Лапласа дельтаu=0 в круговом секторе 0 < r < ..
45р.
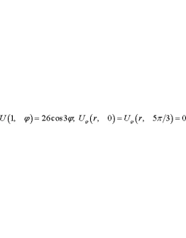
Задача 8.27 из раздела 11 УМФ автор Кузнецов Л.А. 2005
Решение задачи 8.27 (задача 8. Найти решение уравнения Лапласа дельтаu=0 в круговом секторе 0 < r < ..
45р.
Задача 8.28 из раздела 11 УМФ автор Кузнецов Л.А. 2005
Решение задачи 8.28 (задача 8. Найти решение уравнения Лапласа дельтаu=0 в круговом секторе 0 < r < ..
45р.
Решебник Кузнецов. Аналитическая геометрия - Вариант 01
Решение 14-ти задач ВАРИАНТ 1 из раздела 9 Аналитическая геометрия, сборник заданий по высшей матема..
150р.
Решебник Кузнецов. Аналитическая геометрия - Вариант 02
Решение 14-ти задач ВАРИАНТ 2 из раздела 9 Аналитическая геометрия, сборник заданий по высшей матема..
150р.
Решебник Кузнецов. Аналитическая геометрия - Вариант 03
Решение 14-ти задач ВАРИАНТ 3 из раздела 9 Аналитическая геометрия, сборник заданий по высшей матема..
150р.
Решебник Кузнецов. Аналитическая геометрия - Вариант 04
Решение 14-ти задач ВАРИАНТ 4 из раздела 9 Аналитическая геометрия, сборник заданий по высшей матема..
150р.
Решебник Кузнецов. Аналитическая геометрия - Вариант 05
Решение 14-ти задач ВАРИАНТ 5 из раздела 9 Аналитическая геометрия, сборник заданий по высшей матема..
150р.
Решебник Кузнецов. Аналитическая геометрия - Вариант 06
Решение 14-ти задач ВАРИАНТ 6 из раздела 9 Аналитическая геометрия, сборник заданий по высшей матема..
150р.
Решебник Кузнецов. Аналитическая геометрия - Вариант 07
Решение 14-ти задач ВАРИАНТ 7 из раздела 9 Аналитическая геометрия, сборник заданий по высшей матема..
150р.
Решебник Кузнецов. Аналитическая геометрия - Вариант 08
Решение 14-ти задач ВАРИАНТ 8 из раздела 9 Аналитическая геометрия, сборник заданий по высшей матема..
150р.
Решебник Кузнецов. Аналитическая геометрия - Вариант 09
Решение 14-ти задач ВАРИАНТ 9 из раздела 9 Аналитическая геометрия, сборник заданий по высшей матема..
150р.










