• Решебник Рябушко. Решенный ИДЗ 14.1, Вариант 27
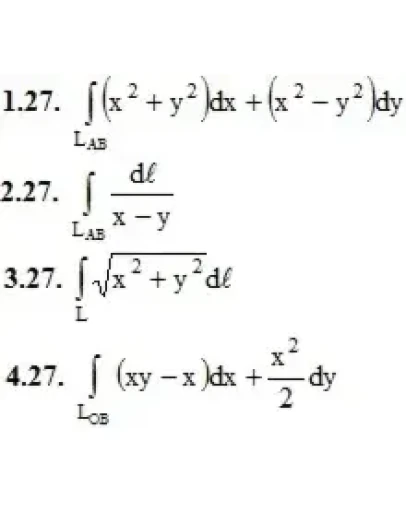
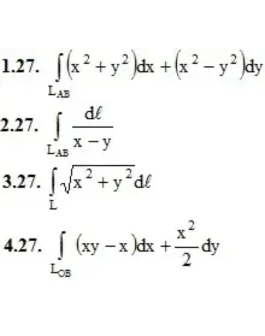
1. Вычислить данные криволинейные интегралы (1-4)

, где LAB – ломаная линия y = |x| от точки А(–1, 1) до точки B(2, 2)

, где LAB – отрезок прямой, заключенный между точками A(4, 0) и B(6, 1).

, где L – развертка окружности x = 6(cost + tsint), y = 6(sint – tcost), 0 ≤ t ≤ 2π.

, где LOB – дуга параболы y = 4x2 от точки O(0, 0) до точки B(1, 4).

Написать отзыв

Примечание: HTML разметка не поддерживается! Используйте обычный текст.
   Плохо           Хорошо

Решебник Рябушко. Решенный ИДЗ 14.1, Вариант 27

  • Продавец: Massimo86
  • Модель: 2547329
  • Наличие: Есть в наличии
  • 100р.

Рекомендуемые