• Решебник Рябушко. Решенный ИДЗ 14.1, Вариант 30
1. Вычислить данные криволинейные интегралы (1-4)

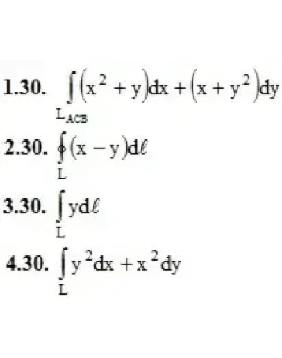
, где LACB – ломаная ACB; A(2, 0); C(5, 0); B(5, 3).

, где L – окружность x2 + y2 = 2x

, где L – дуга параболы y2 = 12x, отсеченная параболой x2 = 12y.

, где L – дуга верхней половины эллипса x = 5cost, y = 2sint, «пробегаемая» по ходу часовой стрелки.

Написать отзыв

Примечание: HTML разметка не поддерживается! Используйте обычный текст.
   Плохо           Хорошо

Решебник Рябушко. Решенный ИДЗ 14.1, Вариант 30

  • Продавец: Massimo86
  • Модель: 2547332
  • Наличие: Есть в наличии
  • 100р.

Рекомендуемые