1. Найти y’ и y’’
1.23 x2y2 + x = 5y
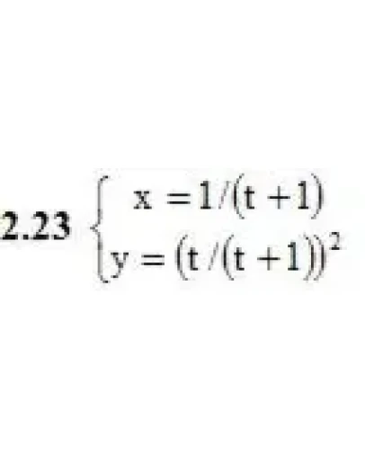
2. Найти y’ и y’’
2.23 x=1/(t+1) y=(t/(t+1))^2
3. Для данной функции y и аргумента x0 вычислить y’’’(x0)
3.23 y = (x+1)ln(x+1), x0 = − 1/2
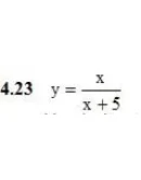
4. Записать формулу для производной n-го порядка указанной функции.
4.23 y=x/(x+5)
5. Решить следующие задачи.
5.23 Найти точку на кривой y = –3x2 + 4x+7 касательная в которой перпендикулярна к прямой x – 20y + 5=0?
6. Решить следующие задачи.
6.23 В какой точке параболы x2 = 9y абсцисса возрастает в вдвое быстрее, чем ордината?
1.23 x2y2 + x = 5y
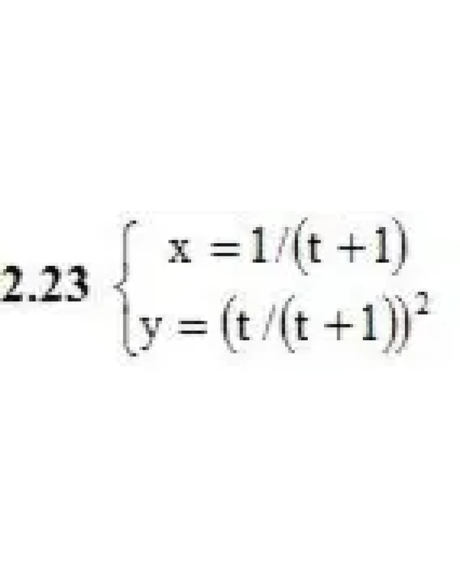
2. Найти y’ и y’’
2.23 x=1/(t+1) y=(t/(t+1))^2
3. Для данной функции y и аргумента x0 вычислить y’’’(x0)
3.23 y = (x+1)ln(x+1), x0 = − 1/2
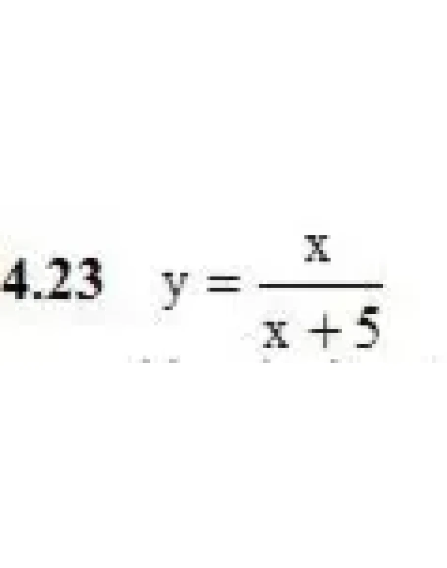
4. Записать формулу для производной n-го порядка указанной функции.
4.23 y=x/(x+5)
5. Решить следующие задачи.
5.23 Найти точку на кривой y = –3x2 + 4x+7 касательная в которой перпендикулярна к прямой x – 20y + 5=0?
6. Решить следующие задачи.
6.23 В какой точке параболы x2 = 9y абсцисса возрастает в вдвое быстрее, чем ордината?





