1. Найти y’ и y’’
1.26 x3 + y3 = 5x

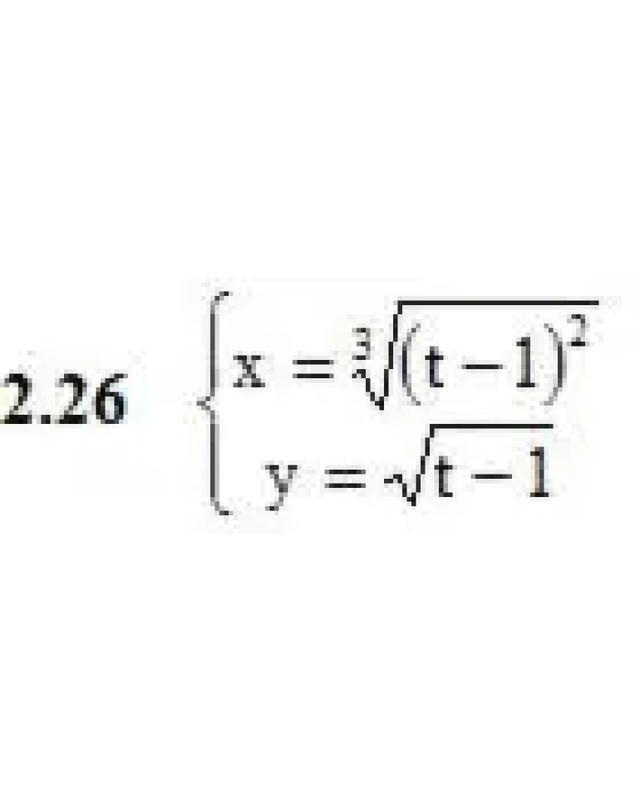
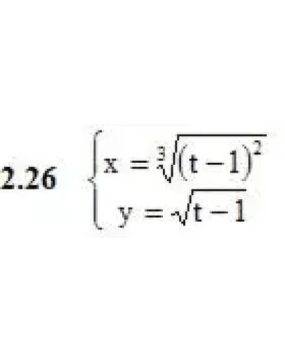
2. Найти y’ и y’’
2.26 x=3√(t-1)2 y=√t-1

3. Для данной функции y и аргумента x0 вычислить y’’’(x0)
3.26 y = (4x – 3)5, x0 = 1

4. Записать формулу для производной n-го порядка указанной функции.
4.26 y = xe6x

5. Решить следующие задачи.
5.26 Найти точку на кривой y = 3x2 – 5x – 11 касательная в которой параллельна прямой x – y + 10 = 0?

6. Решить следующие задачи.
6.26 Закон движения материальной точки по прямой задан формулой s=1/3t3-1/2t2-30t+18. В какой момент времени скорость точки будет равна нулю?

Написать отзыв

Примечание: HTML разметка не поддерживается! Используйте обычный текст.
   Плохо           Хорошо

Решебник Рябушко. Решенный ИДЗ 6.2, Вариант 26

  • Продавец: Massimo86
  • Модель: 2545421
  • Наличие: Есть в наличии
  • 120р.

Рекомендуемые