1. Найти y’ и y’’
1.3 y = x + arctgy

2. Найти y’ и y’’
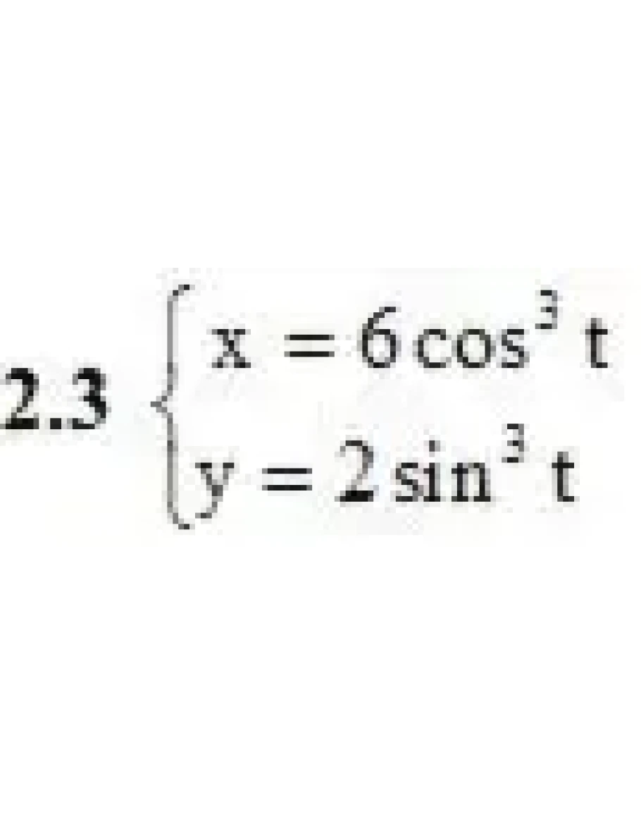
2.3 x=6cos3t y=2sin3t

3. Для данной функции y и аргумента x0 вычислить y’’’(x0)
3.3 y = ln(2 + x2), x0=0

4. Записать формулу для производной n-го порядка указанной функции.
4.3 y=2x

5. Решить следующие задачи.
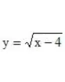
5.3 Записать уравнение касательной к линии √(x-4) в точке с абсциссой x=8

6. Решить следующие задачи.
6.3 По оси Ox движутся две материальные точки, законы движения которых x = 4t2 – 7 и
x = 3t2 – 4t + 38 С какой скоростью эти точки удаляются друг от друга в момент встречи?

Написать отзыв

Примечание: HTML разметка не поддерживается! Используйте обычный текст.
   Плохо           Хорошо

Решебник Рябушко. Решенный ИДЗ 6.2, Вариант 3

  • Продавец: Massimo86
  • Модель: 2545393
  • Наличие: Есть в наличии
  • 120р.

Рекомендуемые