1. Найти y’ и y’’
1.4 x2/5+ y2/3=1
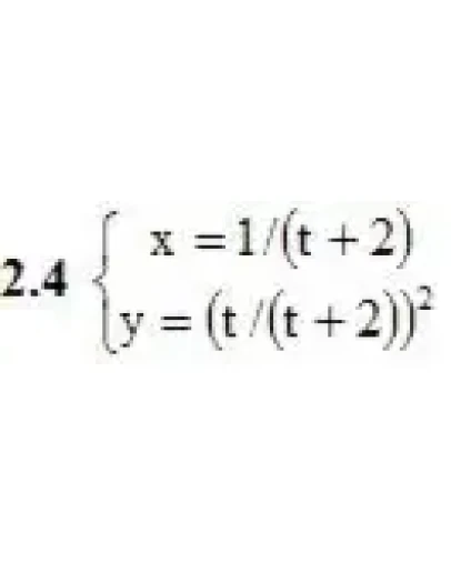
2. Найти y’ и y’’
2.4 x=1/(t+2) y=(t/(t+2))2
3. Для данной функции y и аргумента x0 вычислить y’’’(x0)
3.4 y = excosx, x0 = 0
4. Записать формулу для производной n-го порядка указанной функции.
4.4 y = cosx
5. Решить следующие задачи.
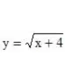
5.4 Записать уравнение нормали к линии √x+4 в точке с абсциссой x = −3
6. Решить следующие задачи.
6.4 Материальная точка движется по гиперболе xy = 12 так, что её абсцисса x равномерно возрастает со скоростью 1 м/с. С какой скоростью изменяется ордината точки, когда она проходит положение (6, 2)?
1.4 x2/5+ y2/3=1
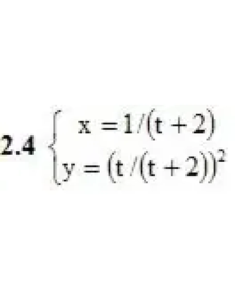
2. Найти y’ и y’’
2.4 x=1/(t+2) y=(t/(t+2))2
3. Для данной функции y и аргумента x0 вычислить y’’’(x0)
3.4 y = excosx, x0 = 0
4. Записать формулу для производной n-го порядка указанной функции.
4.4 y = cosx
5. Решить следующие задачи.
5.4 Записать уравнение нормали к линии √x+4 в точке с абсциссой x = −3
6. Решить следующие задачи.
6.4 Материальная точка движется по гиперболе xy = 12 так, что её абсцисса x равномерно возрастает со скоростью 1 м/с. С какой скоростью изменяется ордината точки, когда она проходит положение (6, 2)?





