1. Найти y’ и y’’
1.7 y2 – x = cosy
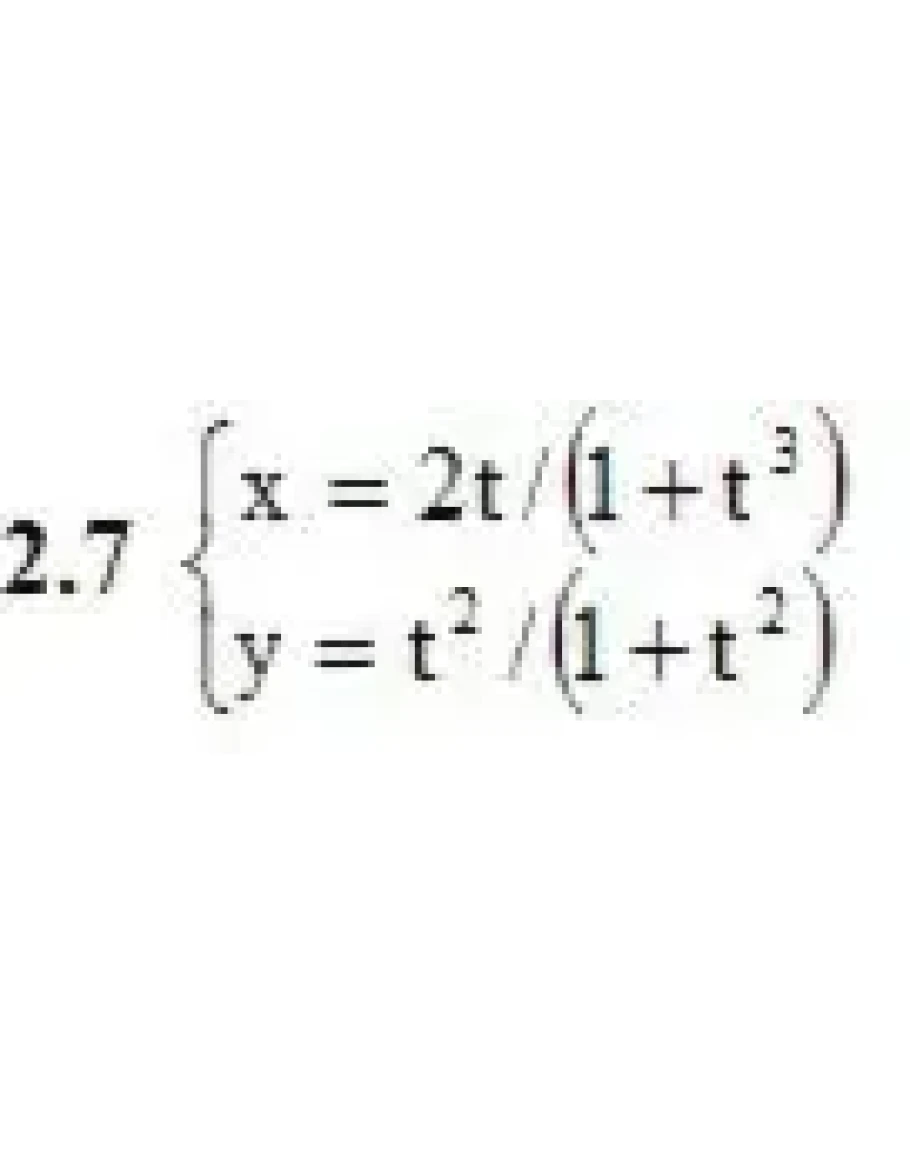
2. Найти y’ и y’’
2.7 x=2t/(1+t3) y=t2/(1+t2)
3. Для данной функции y и аргумента x0 вычислить y’’’(x0)
3.7 y = sin2x, x0 = π
4. Записать формулу для производной n-го порядка указанной функции.
4.7 y = e−2x
5. Решить следующие задачи.
5.7 Определить угловой коэффициент касательной к кривой x2 – y2 + xy – 11 = 0 в точке (3, 2)
6. Решить следующие задачи.
6.7 Закон движения материальной точки s = 3t4 – t3 + 4t2 + 6. Найти скорость ее движения в момент времени t = 2c
1.7 y2 – x = cosy
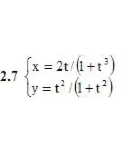
2. Найти y’ и y’’
2.7 x=2t/(1+t3) y=t2/(1+t2)
3. Для данной функции y и аргумента x0 вычислить y’’’(x0)
3.7 y = sin2x, x0 = π
4. Записать формулу для производной n-го порядка указанной функции.
4.7 y = e−2x
5. Решить следующие задачи.
5.7 Определить угловой коэффициент касательной к кривой x2 – y2 + xy – 11 = 0 в точке (3, 2)
6. Решить следующие задачи.
6.7 Закон движения материальной точки s = 3t4 – t3 + 4t2 + 6. Найти скорость ее движения в момент времени t = 2c




