1. Найти y’ и y’’
1.8 3x + siny = 5y
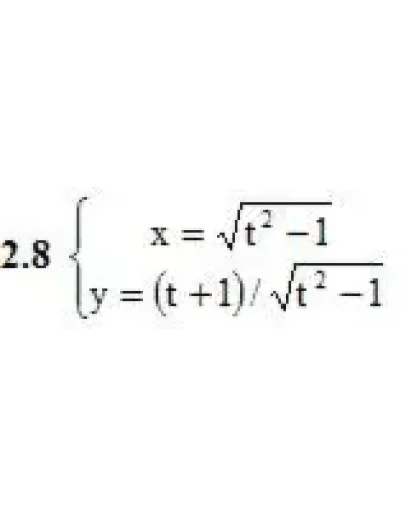
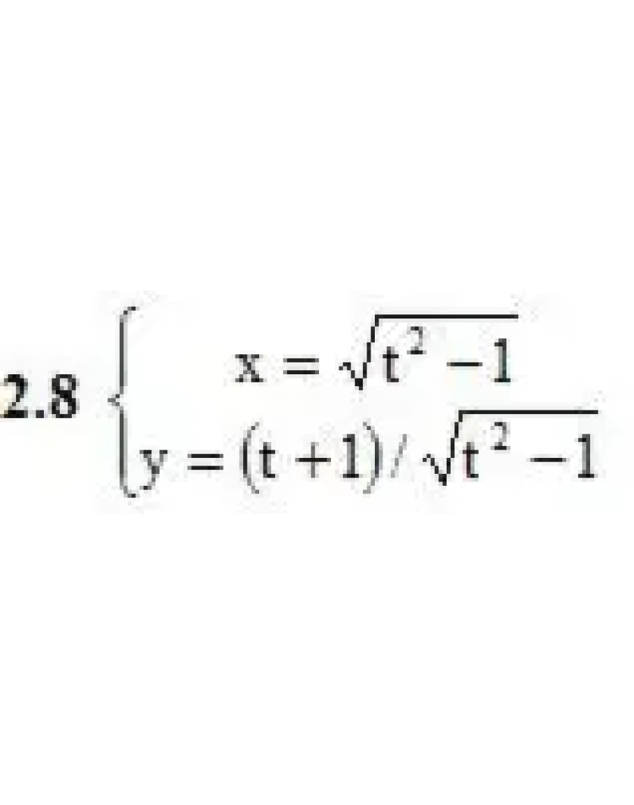
2. Найти y’ и y’’
2.8 x=√t2-1, y=(t+1)/√t2-1
3. Для данной функции y и аргумента x0 вычислить y’’’(x0)
3.8 y = (2x+1)5, x0 = 1
4. Записать формулу для производной n-го порядка указанной функции.
4.8 y = ln(3 + x)
5. Решить следующие задачи.
5.8 В какой точке кривой y2 = 4x3 касательная перпендикулярна к прямой x + 3y – 1 =0?
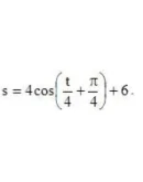
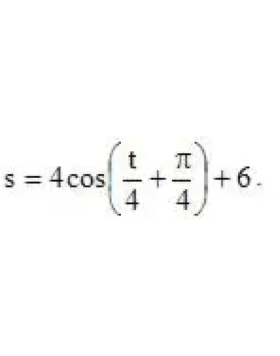
6. Решить следующие задачи.
6.8 Закон движения материальной точки s=4cos(t/4+π/4)+6. Найти ее скорость в момент времени t = π c.
1.8 3x + siny = 5y
2. Найти y’ и y’’
2.8 x=√t2-1, y=(t+1)/√t2-1
3. Для данной функции y и аргумента x0 вычислить y’’’(x0)
3.8 y = (2x+1)5, x0 = 1
4. Записать формулу для производной n-го порядка указанной функции.
4.8 y = ln(3 + x)
5. Решить следующие задачи.
5.8 В какой точке кривой y2 = 4x3 касательная перпендикулярна к прямой x + 3y – 1 =0?
6. Решить следующие задачи.
6.8 Закон движения материальной точки s=4cos(t/4+π/4)+6. Найти ее скорость в момент времени t = π c.





