Massimo86
ИДЗ 6.1 Вариант 28. Решения Рябушко А.П.
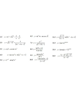
1. Продифференцировать данные функции (1-14)14 Примеров..
140р.
ИДЗ 6.1 Вариант 29. Решения Рябушко А.П.
1. Продифференцировать данные функции (1-14)14 Примеров..
140р.
ИДЗ 6.1 Вариант 3. Решения Рябушко А.П.
1. Продифференцировать данные функции (1-14)14 Примеров..
140р.
ИДЗ 6.1 Вариант 30. Решения Рябушко А.П.
1. Продифференцировать данные функции (1-14)14 Примеров..
140р.
ИДЗ 6.1 Вариант 4. Решения Рябушко А.П.
1. Продифференцировать данные функции (1-14)14 Примеров..
140р.
ИДЗ 6.1 Вариант 5. Решения Рябушко А.П.
1. Продифференцировать данные функции (1-14)14 Примеров..
140р.
ИДЗ 6.1 Вариант 6. Решения Рябушко А.П.
1. Продифференцировать данные функции (1-14)14 Примеров..
140р.
ИДЗ 6.1 Вариант 7. Решения Рябушко А.П.
1. Продифференцировать данные функции (1-14)14 Примеров..
140р.
ИДЗ 6.1 Вариант 8. Решения Рябушко А.П.
1. Продифференцировать данные функции (1-14)14 Примеров..
140р.
ИДЗ 6.1 Вариант 9. Решения Рябушко А.П.
1. Продифференцировать данные функции (1-14)14 Примеров..
140р.
ИДЗ 6.2 Вариант 1. Решения Рябушко А.П.
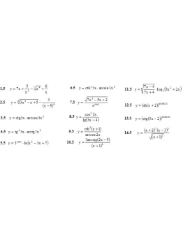
1. Найти y’ и y’’1.1 y2=8x 2. Найти y’ и y’’ 2.1 x=(2t+3)cost y=3t33. Для данной функции y и арг..
120р.
ИДЗ 6.2 Вариант 10. Решения Рябушко А.П.
1. Найти y’ и y’’1.10 xy = ctgy 2. Найти y’ и y’’2.10 x=lnt/t y=tlnt 3. Для данной функции y и арг..
120р.
ИДЗ 6.2 Вариант 11. Решения Рябушко А.П.
1. Найти y’ и y’’ 1.11 y = ey + 4x2. Найти y’ и y’’ 2.11 x=etcost y=etsint3. Для данной функции ..
120р.
ИДЗ 6.2 Вариант 12. Решения Рябушко А.П.
1. Найти y’ и y’’ 1.12 lny – y/x = 72. Найти y’ и y’’ 2.12 x=t4, y=lnt3. Для данной функции y и а..
120р.
ИДЗ 6.2 Вариант 13. Решения Рябушко А.П.
1. Найти y’ и y’’1.13 y2 + x2 = siny 2. Найти y’ и y’’ 2.13 x=5cost y=4sint3. Для данной функции ..
120р.













