Massimo86
ИДЗ 6.2 Вариант 28. Решения Рябушко А.П.
1. Найти y’ и y’’ 1.28 y2 = (x – y)/(x + y)2. Найти y’ и y’’ 2.28 x=tet y=t/et3. Для данной функ..
120р.
ИДЗ 6.2 Вариант 29. Решения Рябушко А.П.
1. Найти y’ и y’’ 1.29 sin2(3x + y2) = 52. Найти y’ и y’’ 2.29 x=6t2-4 y=3t53. Для данной функци..
120р.
ИДЗ 6.2 Вариант 3. Решения Рябушко А.П.
1. Найти y’ и y’’1.3 y = x + arctgy 2. Найти y’ и y’’ 2.3 x=6cos3t y=2sin3t3. Для данной функции ..
120р.
ИДЗ 6.2 Вариант 30. Решения Рябушко А.П.
1. Найти y’ и y’’ 1.30 ctg2(x + y) = 5x2. Найти y’ и y’’ 2.30 x=arcsint y=lnt3. Для данной функц..
120р.
ИДЗ 6.2 Вариант 4. Решения Рябушко А.П.
1. Найти y’ и y’’ 1.4 x2/5+ y2/3=12. Найти y’ и y’’ 2.4 x=1/(t+2) y=(t/(t+2))23. Для данной функц..
120р.
ИДЗ 6.2 Вариант 5. Решения Рябушко А.П.
1. Найти y’ и y’’ 1.5 y2 = 25x – 42. Найти y’ и y’’2.5 x=e-2t y=e4t 3. Для данной функции y и ..
120р.
ИДЗ 6.2 Вариант 6. Решения Рябушко А.П.
1. Найти y’ и y’’ 1.6 arcctgy = 4x + 5y2. Найти y’ и y’’ 2.6 x=√t y=5√t3. Для данной функции y и ..
120р.
ИДЗ 6.2 Вариант 7. Решения Рябушко А.П.
1. Найти y’ и y’’ 1.7 y2 – x = cosy2. Найти y’ и y’’2.7 x=2t/(1+t3) y=t2/(1+t2)3. Для данной функц..
120р.
ИДЗ 6.2 Вариант 8. Решения Рябушко А.П.
1. Найти y’ и y’’1.8 3x + siny = 5y 2. Найти y’ и y’’ 2.8 x=√t2-1, y=(t+1)/√t2-1 3. Для данной фун..
120р.
ИДЗ 6.2 Вариант 9. Решения Рябушко А.П.
1. Найти y’ и y’’1.9 tgy = 3x + 5y 2. Найти y’ и y’’2.9 x=4t+2t2 y=5t3-3t2 3. Для данной функции ..
120р.
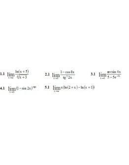
ИДЗ 6.3 Вариант 1. Решения Рябушко А.П.
1. Найтиуказанные пределы, используя правило Лопиталя. (1-5) 2. С помощьюдифференциала приближенно в..
130р.
ИДЗ 6.3 Вариант 10. Решения Рябушко А.П.
1. Найти указанные пределы, используя правило Лопиталя. (1-5) 2. С помощью дифференциала приближенно..
130р.
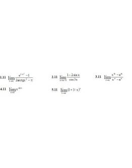
ИДЗ 6.3 Вариант 11. Решения Рябушко А.П.
1. Найти указанные пределы, используя правило Лопиталя. (1-5) 2. С помощью дифференциала приближенно..
130р.
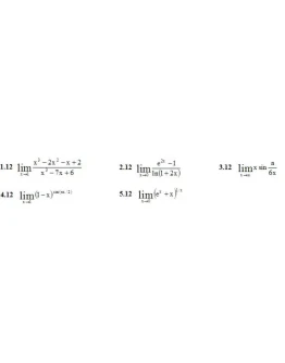
ИДЗ 6.3 Вариант 12. Решения Рябушко А.П.
1. Найти указанные пределы, используя правило Лопиталя. (1-5) 2. С помощью дифференциала приближенно..
130р.
ИДЗ 6.3 Вариант 13. Решения Рябушко А.П.
1. Найти указанные пределы, используя правило Лопиталя. (1-5) 2. С помощью дифференциала приближенно..
130р.









