Massimo86
ИДЗ 6.4 Вариант 28. Решения Рябушко А.П.
1. Решить следующие задачи 1.28 Окно имеет форму прямоугольника, завершенного полукругом. Периметр о..
100р.
ИДЗ 6.4 Вариант 29. Решения Рябушко А.П.
1. Решить следующие задачи 1.29 На странице книги печатный текст занимает площадь S; ширина верхнего..
100р.
ИДЗ 6.4 Вариант 3. Решения Рябушко А.П.
1. Решить следующие задачи 1.3 Найти соотношение между радиусом R и высотой H цилиндра, имеющего при..
100р.
ИДЗ 6.4 Вариант 30. Решения Рябушко А.П.
1. Решить следующие задачи 1.30 Из круглого бревна, диаметр которого d, требуется вырезать балку пря..
100р.
ИДЗ 6.4 Вариант 4. Решения Рябушко А.П.
1. Решить следующие задачи 1.4 Требуется сделать коническую воронку с образующей, равной 20 см. Како..
100р.
ИДЗ 6.4 Вариант 5. Решения Рябушко А.П.
1. Решить следующие задачи 1.5 Периметр равнобедренного треугольника равен 2p. Каково должно быть ег..
100р.
ИДЗ 6.4 Вариант 6. Решения Рябушко А.П.
1. Решить следующие задачи 1.6 Найти высоту конуса наибольшего объема, который можно вписать в шар р..
100р.
ИДЗ 6.4 Вариант 7. Решения Рябушко А.П.
1. Решить следующие задачи 1.7 Проволокой, длина которой l м, необходимо огородить клумбу, имеющую ф..
100р.
ИДЗ 6.4 Вариант 8. Решения Рябушко А.П.
1. Решить следующие задачи 1.8 Определить наибольшую площадь прямоугольника, вписанного в полукруг р..
100р.
ИДЗ 6.4 Вариант 9. Решения Рябушко А.П.
1. Решить следующие задачи 1.9 Бревно длиной 20 м и имеет форму усеченного конуса, диаметры основани..
100р.
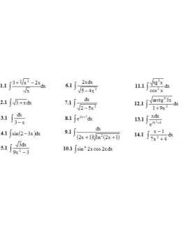
ИДЗ 8.1 Вариант 1. Решения Рябушко А.П.
1. Найти неопределенные интегралы (в заданиях 1-5 результаты интегрирования проверить дифференцирова..
90р.
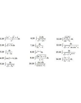
ИДЗ 8.1 Вариант 10. Решения Рябушко А.П.
1. Найти неопределенные интегралы (в заданиях 1-5 результаты интегрирования проверить дифференцирова..
90р.
ИДЗ 8.1 Вариант 11. Решения Рябушко А.П.
1. Найти неопределенные интегралы (в заданиях 1-5 результаты интегрирования проверить дифференцирова..
90р.
ИДЗ 8.1 Вариант 12. Решения Рябушко А.П.
1. Найти неопределенные интегралы (в заданиях 1-5 результаты интегрирования проверить дифференцирова..
90р.
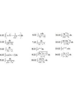
ИДЗ 8.1 Вариант 13. Решения Рябушко А.П.
1. Найти неопределенные интегралы (в заданиях 1-5 результаты интегрирования проверить дифференцирова..
90р.









