• Решенный интеграл вида ln(sinx)/sin2(x)dx
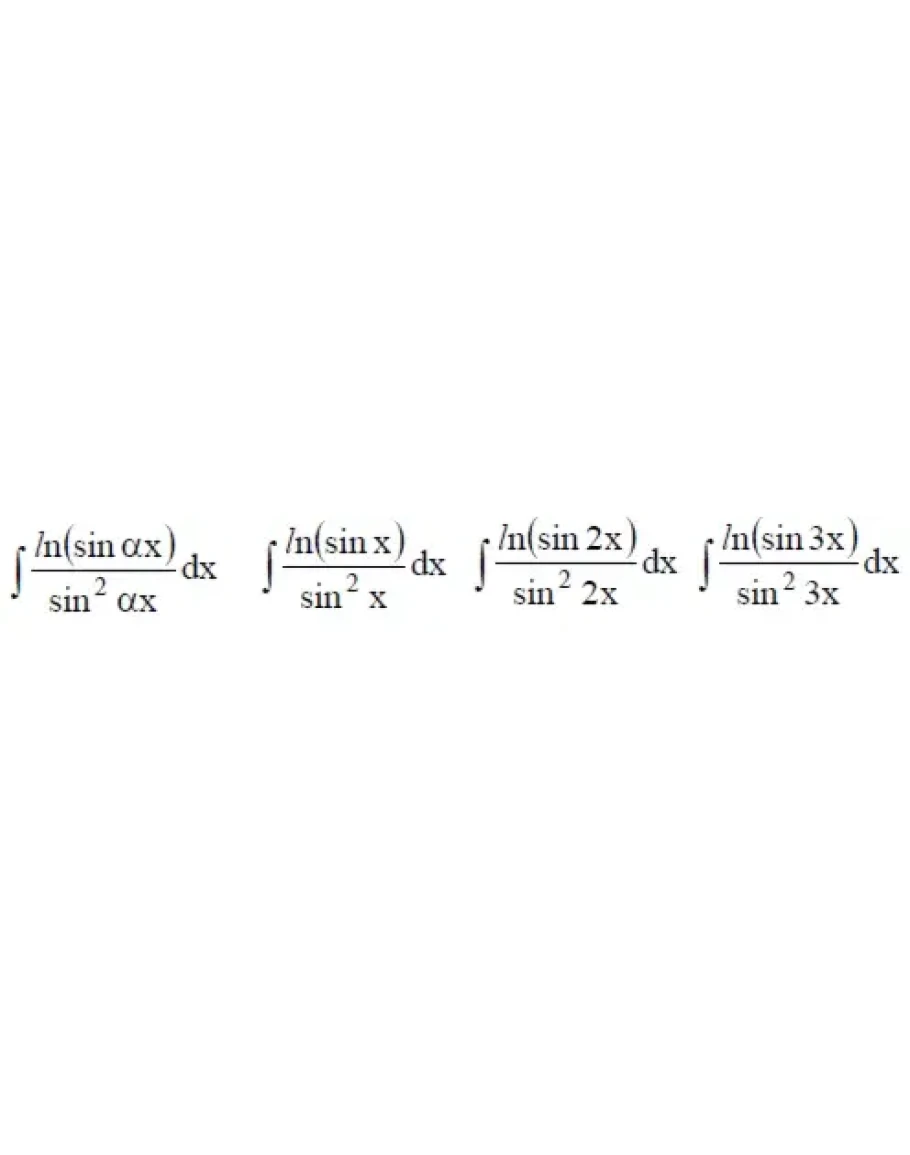
Решение неопределенного интеграла вида ∫ln(sinαx)/sin^2(αx)dx методом интегрирования по частям, где α принимает значения 1,2,3,4,5,…n.
Рассмотрен пример решения интегралов при α=1, α=2, α=3.

∫ln(sinαx)/sin^2(αx)dx, ∫ln(sinx)/sin^2(x)dx, ∫ln(sin2x)/sin^2(2x)dx, ∫ln(sin3x)/sin^2(3x)dx

Решение оформлено в PDF-формате

Написать отзыв

Примечание: HTML разметка не поддерживается! Используйте обычный текст.
   Плохо           Хорошо

Решенный интеграл вида ln(sinx)/sin2(x)dx

  • Продавец: plati-goods
  • Модель: 3593623
  • Наличие: Есть в наличии
  • 12р.

Рекомендуемые