plati-goods
Решенный интеграл вида ln(sinx)/cos2(x)dx
Решение неопределенного интеграла вида ∫ln(sinαx)/cos^(αx)dx методом интегрирования по частям, где α..
10р.
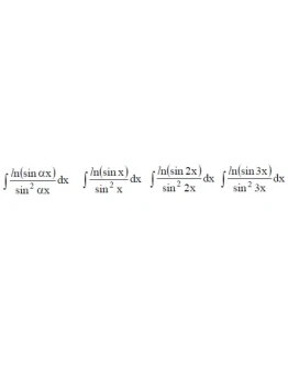
Решенный интеграл вида ln(sinx)/sin2(x)dx
Решение неопределенного интеграла вида ∫ln(sinαx)/sin^2(αx)dx методом интегрирования по частям, где ..
12р.
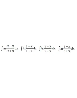
Решенный интеграл вида ln(x)/(+x)dx
Решение неопределенного интеграла вида ∫ln(α−x)/(α+x)dx методом интегрирования по частям, где α прин..
12р.
Решенный интеграл вида ln(x)lnln(x)/xdx
Решение неопределенного интеграла вида ∫ln(αx)lnln(αx)/xdx методом интегрирования по частям, где α п..
12р.
Решенный интеграл вида ln(x+(+2x2))dx
Решение неопределенного интеграла вида ∫ln(αx+√(β+α^2x^2))dx методом интегрирования по частям, где α..
15р.
Решенный интеграл вида ln(x+)dx
Решение неопределенного интеграла вида ∫ln(αx+β)dx методом интегрирования по частям, где α принимает..
10р.
Решенный интеграл вида ln(x2+)dx
Решение неопределенного интеграла вида ∫ln(αx^2+β)dx методом интегрирования по частям, где α принима..
12р.
Решенный интеграл вида ln2(x)/x2dx
Решение неопределенного интеграла вида ∫ln^2(αx)/x^2dx методом интегрирования по частям, где α прини..
10р.
Решенный интеграл вида ln2(x)/x3dx
Решение неопределенного интеграла вида ∫ln^2(αx)/x^3dx методом интегрирования по частям, где α прини..
12р.
Решенный интеграл вида ln2(x)/xdx
Решение неопределенного интеграла вида ∫ln^2(αx)/√xdx методом интегрирования по частям, где α приним..
12р.
Решенный интеграл вида ln2(x)dx
Решение неопределенного интеграла вида ∫ln^2(αx)dx методом интегрирования по частям, где α принимает..
10р.
Решенный интеграл вида lnln(x)/xdx
Решение неопределенного интеграла вида ∫lnln(αx)/xdx методом интегрирования по частям, где α принима..
10р.
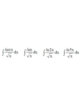
Решенный интеграл вида lnx/x2dx
Решение неопределенного интеграла вида ∫lnαx/x^2dx методом интегрирования по частям, где α принимает..
10р.
Решенный интеграл вида lnx/x3dx
Решение неопределенного интеграла вида ∫lnαx/x^3dx методом интегрирования по частям, где α принимает..
10р.
Решенный интеграл вида lnx/xdx
Решение неопределенного интеграла вида ∫lnαx/√xdx методом интегрирования по частям, где α принимает ..
10р.














