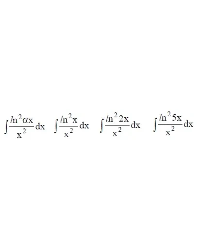
Решение неопределенного интеграла вида ∫ln^2(αx)/x^2dx методом интегрирования по частям, где α принимает значения 1,2,3,4,5...n
Рассмотрен пример решения интегралов при α=1,2,5
∫ln^2(αx)/x^2dx, ∫ln^2(x)/x^2dx, ∫ln^2(2x)/x^2dx, ∫ln^2(5x)/x^2dx
Решение оформлено в PDF-формате
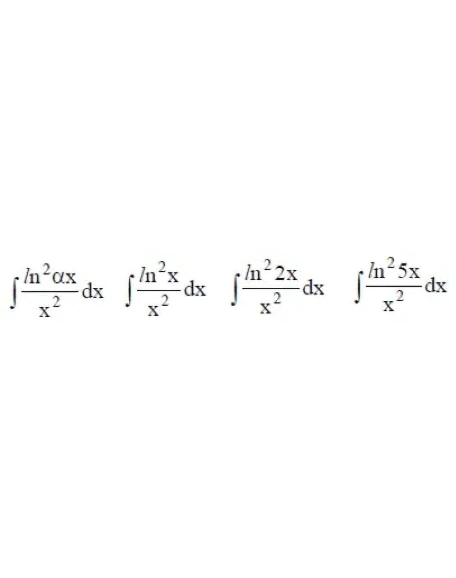
Рассмотрен пример решения интегралов при α=1,2,5
∫ln^2(αx)/x^2dx, ∫ln^2(x)/x^2dx, ∫ln^2(2x)/x^2dx, ∫ln^2(5x)/x^2dx
Решение оформлено в PDF-формате
Решенный интеграл вида ln2(x)/x2dx
- Продавец: plati-goods
- Модель: 3581426
- Наличие: Есть в наличии
-
10р.




