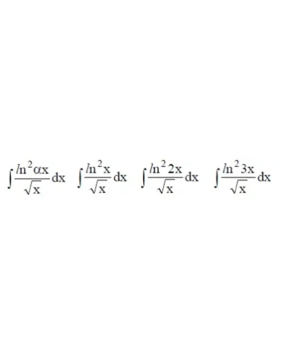
Решение неопределенного интеграла вида ∫ln^2(αx)/√xdx методом интегрирования по частям, где α принимает значения 1,2,3,4,5...n
Рассмотрен пример решения интегралов при α=1,2,3
∫ln^2(αx)/√xdx, ∫ln^2(x)/√xdx, ∫ln^2(2x)/√xdx, ∫ln^2(3x)/√xdx
Решение оформлено в PDF-формате
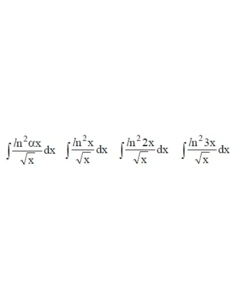
Рассмотрен пример решения интегралов при α=1,2,3
∫ln^2(αx)/√xdx, ∫ln^2(x)/√xdx, ∫ln^2(2x)/√xdx, ∫ln^2(3x)/√xdx
Решение оформлено в PDF-формате
Решенный интеграл вида ln2(x)/xdx
- Продавец: plati-goods
- Модель: 3581507
- Наличие: Есть в наличии
-
12р.




