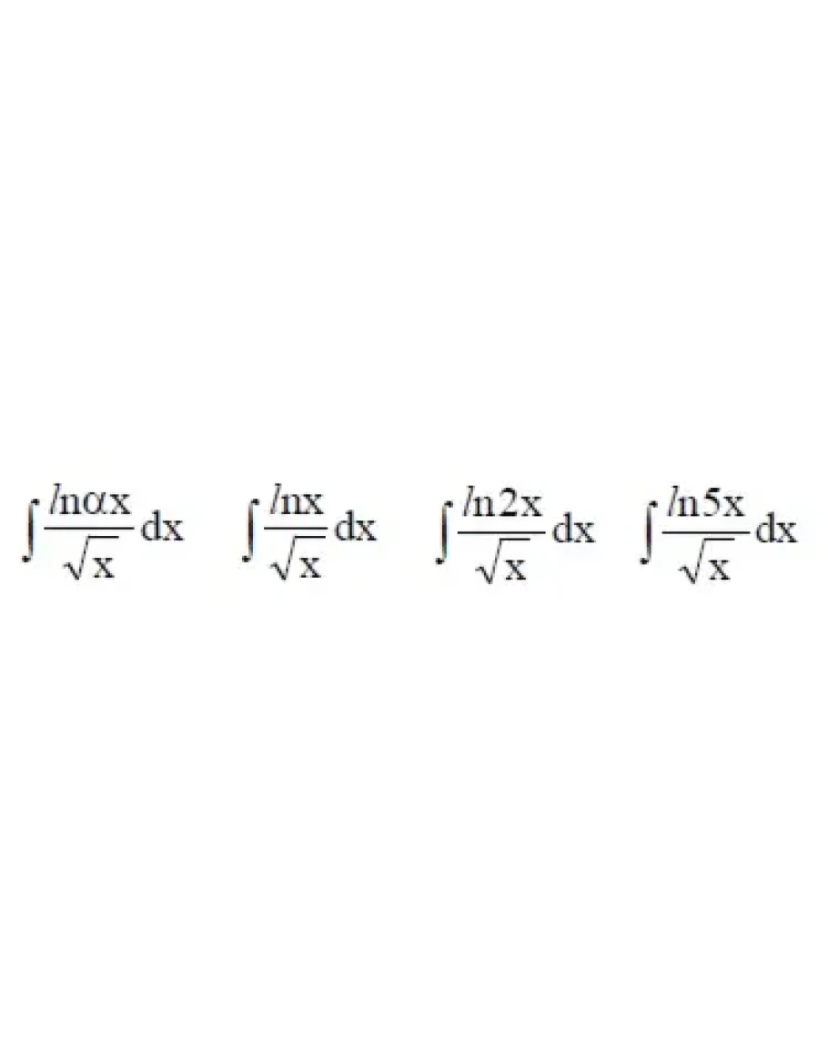
Решение неопределенного интеграла вида ∫lnαx/√xdx методом интегрирования по частям, где α принимает значения 1,2,3,4...n
Рассмотрен пример решения интегралов при α=1,2,5
∫lnαx/√xdx, ∫lnx/√xdx, ∫ln2x/√xdx, ∫ln5x/√xdx
Решение оформлено в PDF-формате
Рассмотрен пример решения интегралов при α=1,2,5
∫lnαx/√xdx, ∫lnx/√xdx, ∫ln2x/√xdx, ∫ln5x/√xdx
Решение оформлено в PDF-формате




