Massimo86
ИДЗ 13.2 Вариант 28. Решения Рябушко А.П.
1. Расставить пределы интегрирования в тройном интеграле если область V ограничена указанными повер..
100р.
ИДЗ 13.2 Вариант 29. Решения Рябушко А.П.
1. Расставить пределы интегрирования в тройном интеграле если область V ограничена указанными повер..
100р.
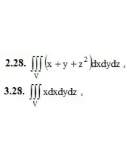
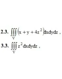
ИДЗ 13.2 Вариант 3. Решения Рябушко А.П.
1. Расставить пределы интегрирования в тройном интеграле если область V ограничена указанными повер..
100р.
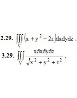
ИДЗ 13.2 Вариант 30. Решения Рябушко А.П.
1. Расставить пределы интегрирования в тройном интеграле если область V ограничена указанными повер..
100р.
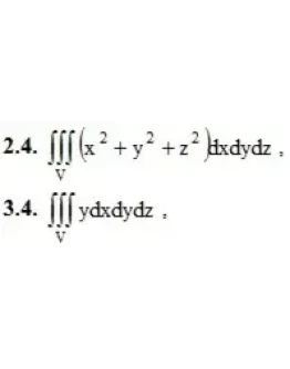
ИДЗ 13.2 Вариант 4. Решения Рябушко А.П.
1. Расставить пределы интегрирования в тройном интеграле если область V ограничена указанными повер..
100р.
ИДЗ 13.2 Вариант 5. Решения Рябушко А.П.
1. Расставить пределы интегрирования в тройном интеграле если область V ограничена указанными повер..
100р.
ИДЗ 13.2 Вариант 6. Решения Рябушко А.П.
1. Расставить пределы интегрирования в тройном интеграле если область V ограничена указанными повер..
100р.
ИДЗ 13.2 Вариант 7. Решения Рябушко А.П.
1. Расставить пределы интегрирования в тройном интеграле если область V ограничена указанными повер..
100р.
ИДЗ 13.2 Вариант 8. Решения Рябушко А.П.
1. Расставить пределы интегрирования в тройном интеграле если область V ограничена указанными повер..
100р.
ИДЗ 13.2 Вариант 9. Решения Рябушко А.П.
1. Расставить пределы интегрирования в тройном интеграле если область V ограничена указанными повер..
100р.
ИДЗ 13.3 Вариант 1. Решения Рябушко А.П.
1. Вычислить массу неоднородной пластины D, ограниченной заданными линиями, если поверхностная плотн..
110р.
ИДЗ 13.3 Вариант 10. Решения Рябушко А.П.
1. Вычислить массу неоднородной пластины D, ограниченной заданными линиями, если поверхностная плотн..
110р.
ИДЗ 13.3 Вариант 11. Решения Рябушко А.П.
1. Вычислить массу неоднородной пластины D, ограниченной заданными линиями, если поверхностная плотн..
110р.
ИДЗ 13.3 Вариант 12. Решения Рябушко А.П.
1. Вычислить массу неоднородной пластины D, ограниченной заданными линиями, если поверхностная плотн..
110р.
ИДЗ 13.3 Вариант 13. Решения Рябушко А.П.
1. Вычислить массу неоднородной пластины D, ограниченной заданными линиями, если поверхностная плотн..
110р.













