Massimo86
ИДЗ 14.1 Вариант 14. Решения Рябушко А.П.
1. Вычислить данные криволинейные интегралы (1-4) , где LOA – дуга окружности x = Rcost, y = Rsint; ..
100р.
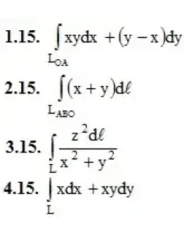
ИДЗ 14.1 Вариант 15. Решения Рябушко А.П.
1. Вычислить данные криволинейные интегралы (1-4) , где LOA – дуга параболы y2 = x от точки O(0, 0) ..
100р.
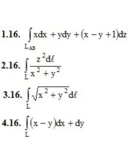
ИДЗ 14.1 Вариант 16. Решения Рябушко А.П.
1. Вычислить данные криволинейные интегралы (1-4) , где LAB – отрезок прямой AB; A(1, 1, 1); B(2, 3,..
100р.
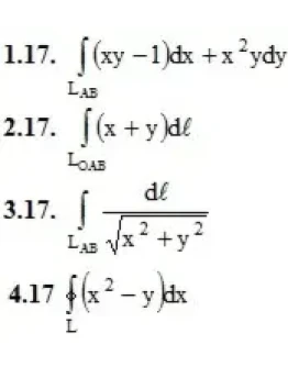
ИДЗ 14.1 Вариант 17. Решения Рябушко А.П.
1. Вычислить данные криволинейные интегралы (1-4) , где LAB – дуга параболы y2 = 4 – 4x от точки А(1..
100р.
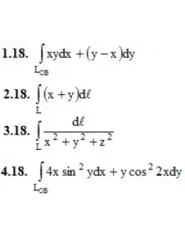
ИДЗ 14.1 Вариант 18. Решения Рябушко А.П.
1. Вычислить данные криволинейные интегралы (1-4) , где LOB – дуга параболы y = x2 от точки O(0, 0) ..
100р.
ИДЗ 14.1 Вариант 19. Решения Рябушко А.П.
1. Вычислить данные криволинейные интегралы (1-4) , где LOB – дуга параболы y = x2 от точки O(0, 0) ..
100р.
ИДЗ 14.1 Вариант 2. Решения Рябушко А.П.
1. Вычислить данные криволинейные интегралы (1-4) , где LAB – дуга астроиды x = 2cos3t, y = 2sin3t о..
100р.
ИДЗ 14.1 Вариант 20. Решения Рябушко А.П.
1. Вычислить данные криволинейные интегралы (1-4) , где LAB – дуга астроиды x = 2cos3t, y = 2sin3t о..
100р.
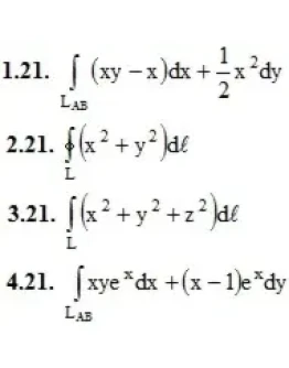
ИДЗ 14.1 Вариант 21. Решения Рябушко А.П.
1. Вычислить данные криволинейные интегралы (1-4) , где LAB – дуга параболы y2 = 4x от точки A(0, 0)..
100р.
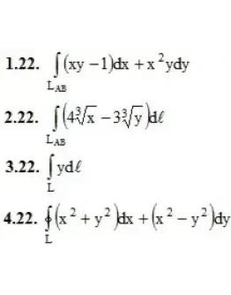
ИДЗ 14.1 Вариант 22. Решения Рябушко А.П.
1. Вычислить данные криволинейные интегралы (1-4) , где LAB – отрезок прямой AB; А(1, 0); B(0, 2). ,..
100р.
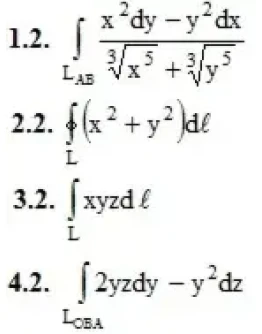
ИДЗ 14.1 Вариант 23. Решения Рябушко А.П.
1. Вычислить данные криволинейные интегралы (1-4) , где LAB – дуга одного витка винтовой линии x = c..
100р.
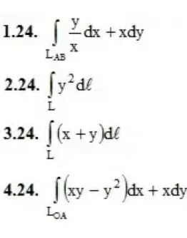
ИДЗ 14.1 Вариант 24. Решения Рябушко А.П.
1. Вычислить данные криволинейные интегралы (1-4) , где LAB – дуга линии y = lnx от точки А(1, 0) до..
100р.
ИДЗ 14.1 Вариант 25. Решения Рябушко А.П.
1. Вычислить данные криволинейные интегралы (1-4) , где L – дуга эллипса x = 3cost, y = 2 sint, «про..
100р.
ИДЗ 14.1 Вариант 26. Решения Рябушко А.П.
1. Вычислить данные криволинейные интегралы (1-4) , где LOA – дуга параболы y = x2/4 от точки O(0, 0..
100р.
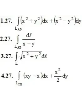
ИДЗ 14.1 Вариант 27. Решения Рябушко А.П.
1. Вычислить данные криволинейные интегралы (1-4) , где LAB – ломаная линия y = |x| от точки А(–1, 1..
100р.














