Massimo86
ИДЗ 14.1 Вариант 28. Решения Рябушко А.П.
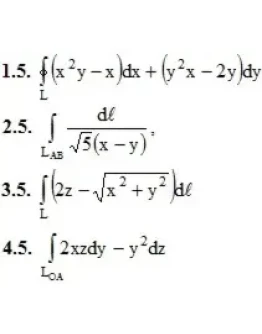
1. Вычислить данные криволинейные интегралы (1-4) , где LOA – отрезок прямой, соединяющий точки O(0,..
100р.
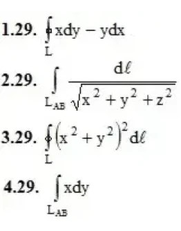
ИДЗ 14.1 Вариант 29. Решения Рябушко А.П.
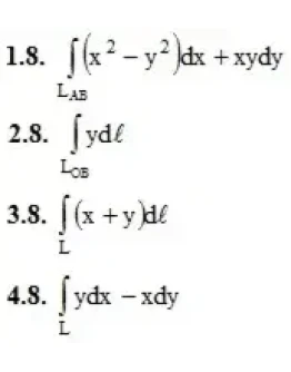
1. Вычислить данные криволинейные интегралы (1-4) , где L – контур треугольника с вершинами A(–1, 0)..
100р.
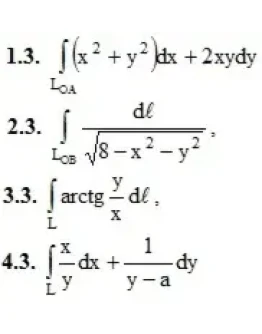
ИДЗ 14.1 Вариант 3. Решения Рябушко А.П.
1. Вычислить данные криволинейные интегралы (1-4) , где LOA – дуга кубической параболы y = x3 от точ..
100р.
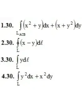
ИДЗ 14.1 Вариант 30. Решения Рябушко А.П.
1. Вычислить данные криволинейные интегралы (1-4) , где LACB – ломаная ACB; A(2, 0); C(5, 0); B(5, 3..
100р.
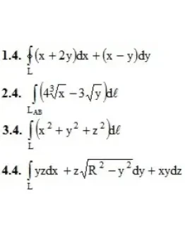
ИДЗ 14.1 Вариант 4. Решения Рябушко А.П.
1. Вычислить данные криволинейные интегралы (1-4) , где L – окружность x = 2cost, y = 2sint при поло..
100р.
ИДЗ 14.1 Вариант 5. Решения Рябушко А.П.
1. Вычислить данные криволинейные интегралы (1-4) , где L – дуга эллипса x = 3cost, y = 2sint при по..
100р.
ИДЗ 14.1 Вариант 6. Решения Рябушко А.П.
1. Вычислить данные криволинейные интегралы (1-4) , где LAB – дуга эллипса x = cost, y = 2sint от то..
100р.
ИДЗ 14.1 Вариант 7. Решения Рябушко А.П.
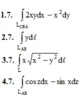
1. Вычислить данные криволинейные интегралы (1-4) , где LOBA – ломаная OBA; O(0, 0); B(2, 0); A(2, 1..
100р.
ИДЗ 14.1 Вариант 8. Решения Рябушко А.П.
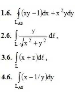
1. Вычислить данные криволинейные интегралы (1-4) , где LAB – отрезок прямой AB, А(1, 1); B(3, 4). ,..
100р.
ИДЗ 14.1 Вариант 9. Решения Рябушко А.П.
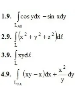
1. Вычислить данные криволинейные интегралы (1-4) , где LAB – отрезок прямой AB, А(2π, –2π); B(–2π, ..
100р.
ИДЗ 14.2 Вариант 1. Решения Рябушко А.П.
1. Показать, что данное выражение является полным дифференциалом функции u(x, y). Найти функцию u(x,..
60р.
ИДЗ 14.2 Вариант 10. Решения Рябушко А.П.
1. Показать, что данное выражение является полным дифференциалом функции u(x, y). Найти функцию u(x,..
60р.
ИДЗ 14.2 Вариант 11. Решения Рябушко А.П.
1. Показать, что данное выражение является полным дифференциалом функции u(x, y). Найти функцию u(x,..
60р.
ИДЗ 14.2 Вариант 12. Решения Рябушко А.П.
1. Показать, что данное выражение является полным дифференциалом функции u(x, y). Найти функцию u(x,..
60р.
ИДЗ 14.2 Вариант 13. Решения Рябушко А.П.
1. Показать, что данное выражение является полным дифференциалом функции u(x, y). Найти функцию u(x,..
60р.













