Massimo86
Решение задачи по физике раздел 67 пункт 64 электро
64. Определить магнитную индукцию на оси тонкого проводящего кольца радиусом R = 10 см, в точке А, р..
30р.
Решение задачи по физике раздел 67 пункт 65 электро
65. Какой будет плотность тока j, если за время t = 5 с через проводник сечением S = 2 мм2 пройдет N..
20р.
Решение задачи по физике раздел 67 пункт 66 электро
66. Определить плотность тока j, если за время t=5 с., через поперечное сечение проводника S=1,2 мм2..
20р.
Решение задачи по физике раздел 67 пункт 67 электро
67. Определить плотность тока, если за 2 с через проводник с круглым сечением прошло 2∙1019 электрон..
30р.
Решение задачи по физике раздел 67 пункт 68 электро
68. Определить плотность тока, если за 0,4 с через проводник сечением 1,2 мм2 прошло 6∙1018 электрон..
20р.
Решение задачи по физике раздел 67 пункт 69 электро
69. Определите число N электронов, проходящих через поперечное сечение проводника за 1 с, если по не..
20р.
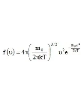
Решение задачи по физике раздел 67 пункт 7 молекулярн
7. Используя закон Максвелла о распределении молекул идеального газа по скоростям , найдите формулу..
30р.
Решение задачи по физике раздел 67 пункт 70 электро
70. Найдите число электронов, проходящих за 1 с через сечение металлического проводника при силе ток..
20р.
Решение задачи по физике раздел 67 пункт 71 электро
71. Через проводник постоянного сечения течёт постоянный ток силой 1 нА. Сколько электронов в средне..
20р.
Решение задачи по физике раздел 67 пункт 72 электро
72. Определите число электронов, которое проходит через поперечное сечение проводника площадью 1 мм2..
30р.
Решение задачи по физике раздел 67 пункт 73 электро
73. Сколько электронов проходит через поперечное сечение проводника площадью 4 мм2 за 2 мин, если пл..
30р.
Решение задачи по физике раздел 67 пункт 74 электро
74. Бесконечная плоскость несет заряд, равномерно распределенный с поверхностной плотностью σ = 1 мк..
30р.
Решение задачи по физике раздел 67 пункт 75 электро
75. Бесконечная плоскость равномерно заряжена с поверхностной плотностью σ=4 нКл/м2. Определить знач..
20р.
Решение задачи по физике раздел 67 пункт 76 электро
76. В схеме (см. рисунок) сопротивление потенциометра R = 1000 Ом, внутреннее сопротивление вольтмет..
30р.
Решение задачи по физике раздел 67 пункт 77 электро
77. Два источника тока, ЭДС которых ε1 = 3 В и ε2 = 2 В, а внутреннее сопротивление r1 = 0,2 Ом и r2..
30р.







